Notebook Entry
Reading notes for Modern Particle Physics, Mark Thomson (Chapter 6)
Lots of key concepts are omitted… Complete them another day.
Chapter 6 Electron-positron annihilation
Calculations in perturbation theory
According in the discussion in Chapter 1, for QED process, the biggest contribution comes from the simplest Feynman diagram, as for the more vertex brings more $\alpha\approx\frac{1}{137}$ decays.
Electron-positron annihilation
According to the Feynman diagram, for process $e^+e^-\to\mu^+\mu^-$:

i.e.,
\[M = -\frac{e^2}{q^2}g_{\mu\nu}j_e^\mu j_\mu^\nu\]Spin sums
In the electron-positron collider, we cannot control the spin orientation of electrons and positrons. Considering the orthogonal of these states, we have, take one helicity for example
\[|M_{RR}|^2 = (|M_{RR\to RR}|^2 + |M_{RL \to RR}|^2 +|M_{LR\to RR}|^2 + |M_{LL\to RR}|^2)\]and the average probability
\[|M|^2 = \frac 1 4(|M_{RR}|^2 + |M_{RL}|^2+|M_{LR}|^2+|M_{LL}|^2)\]Helicity amplitudes
The geometry configuration for $e^-e^+\to\mu^-\mu^+$:

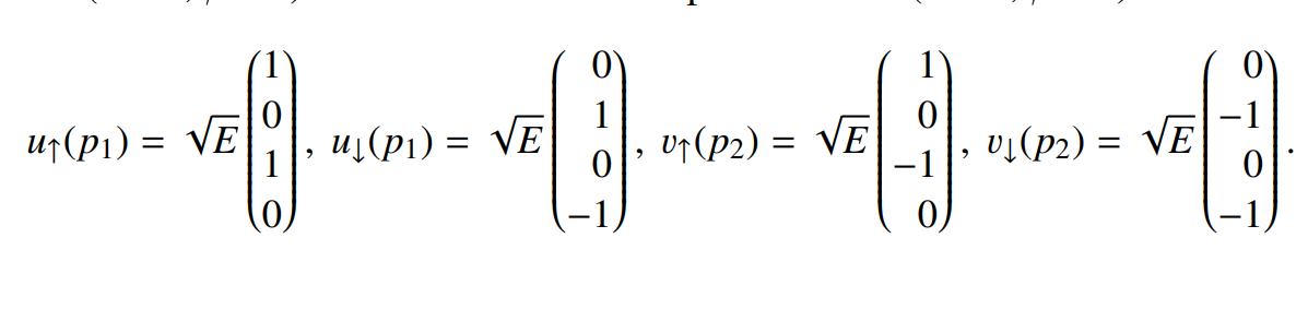
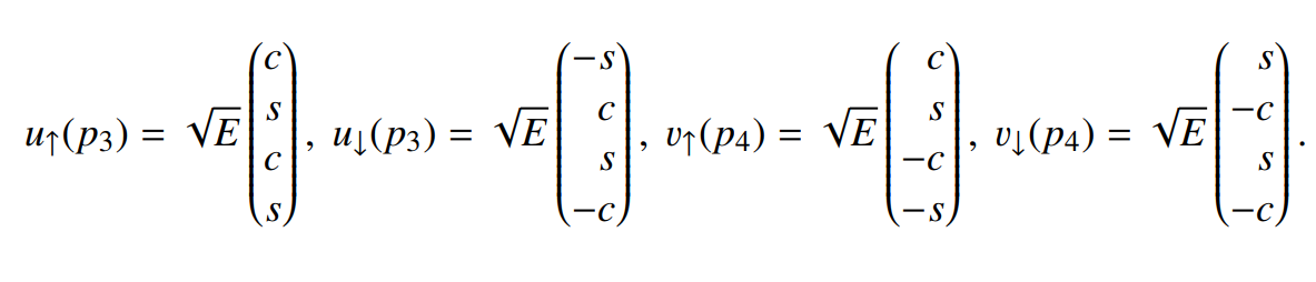
For high-energy scenario, we have $m_e, m_\mu \approx 0$,
\[p_1 = (E, 0, 0, E)\\ p_2 = (E, 0, 0, -E)\\ p_3 = (E, E\sin \theta, 0, E\cos\theta)\\ p_4 = (E, -E\sin \theta, 0, -E\cos \theta)\]And their helicity amplitudes


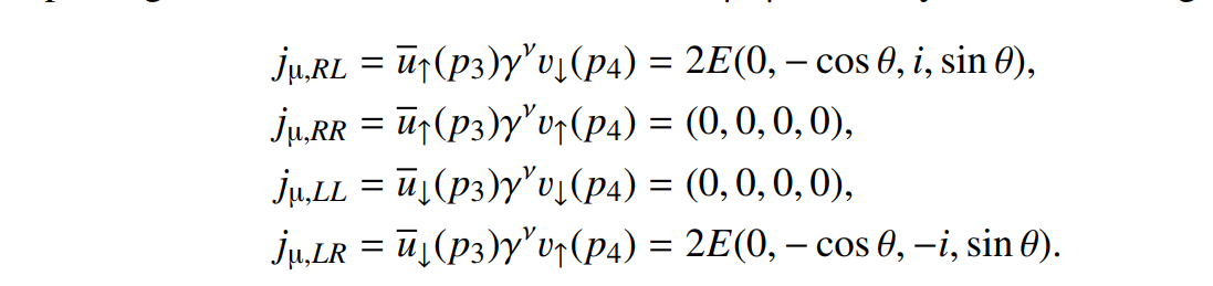
The muon and electron currents
Using the expression of currents, we have

Apparently we can only take the conjugation and set $\theta \to 0$, then we have the non-zero electron currents

The $e^-e^+\to \mu^-\mu^+$ cross section
With
\[M = -\frac{e^2}{q^2}g_{\mu\nu}j_e^\mu j_\mu^\nu\]add them up we get
\[|M_{fi}|^2 = e^4 (1+\cos^2\theta)\]with
\[\frac{\mathrm d \sigma}{\mathrm d^2 \Omega^*} =\frac{p_f^*}{64\pi^2(E_a^*+E_b^*)^2p_i^*}|M_{fi}|^2\]where $p_i^* = p_f^$, $\sqrt s = E_a^+E_b^*$, we have
\[\frac{\mathrm d \sigma}{\mathrm d \Omega} = \frac{e^4(1+\cos^2\theta)}{64\pi^2s}\]Plus $\alpha = \frac{e^2}{4\pi }$, we have
\[\frac{\mathrm d \sigma}{\mathrm d \Omega} = \frac{\alpha^2(1+\cos^2\theta)}{4s}\]Then the integral cross section
\[\sigma = \frac{4\pi \alpha^2}{3s}\]Lorentz-invariant form
Apparently we can calculate the cross section in any other frame.
Given that

We have
\[|M_{fi}|^2 =2e^4\frac{[(p_1\cdot p_3)^2+(p_1\cdot p_4)^2]}{(p_1\cdot p_2)^2}= 2e^4\frac{t^2+u^2}{s^2}\]Spin in electron-positron annihilation
(TO BE CONTINUED)
Chirality
The chirality property is denoted by the $\gamma^5$ matrix,
\[\gamma^5 = \gamma^0\gamma^1\gamma^2\gamma^3 = \begin{pmatrix} 0& I\\ I& 0 \end{pmatrix}\]Apparently it has the same property as other $\gamma$-matrices,
\[{\gamma^5}^\dagger = \gamma^5\\ (\gamma^5)^2 =1 \\ \gamma^5\gamma^\mu + \gamma^\mu \gamma^5 = 0\]And when $E \gg m$, the eigen vectors for H and h
\[u_\uparrow = N\begin{bmatrix} c\\ s \mathrm e ^{\mathrm i \phi}\\ \frac{p}{E+m} c\\ \frac{p}{E+m} s \mathrm e ^{\mathrm i \phi}\\ \end{bmatrix}, \quad u_\downarrow = N\begin{bmatrix} -s\\ c \mathrm e ^{\mathrm i \phi}\\ \frac{p}{E+m} s\\ -\frac{p}{E+m} c \mathrm e ^{\mathrm i \phi}\\ \end{bmatrix},\quad v_\uparrow = N\begin{bmatrix} \frac{p}{E+m} s\\ -\frac{p}{E+m} c \mathrm e ^{\mathrm i \phi}\\ -s\\ c \mathrm e ^{\mathrm i \phi}\\ \end{bmatrix}, \quad v_\downarrow = N\begin{bmatrix} \frac{p}{E+m} c\\ \frac{p}{E+m} s \mathrm e ^{\mathrm i \phi}\\ c\\ s \mathrm e ^{\mathrm i \phi}\\ \end{bmatrix}\]come into
\[u_\uparrow \to u_R =N \begin{bmatrix} c\\ s \mathrm e ^{\mathrm i \phi}\\ c\\ s \mathrm e ^{\mathrm i \phi}\\ \end{bmatrix}, \quad u_\downarrow \to u_L =N \begin{bmatrix} -s\\ c \mathrm e ^{\mathrm i \phi}\\ s\\ -c \mathrm e ^{\mathrm i \phi}\\ \end{bmatrix},\quad v_\uparrow \to v_R =N \begin{bmatrix} s\\ - c \mathrm e ^{\mathrm i \phi}\\ -s\\ c \mathrm e ^{\mathrm i \phi}\\ \end{bmatrix}, \quad v_\downarrow \to v_L =N \begin{bmatrix} c\\ s \mathrm e ^{\mathrm i \phi}\\ c\\ s \mathrm e ^{\mathrm i \phi}\\ \end{bmatrix}\]Thus we have
\[\gamma^5 u_R = +u_R,\quad\gamma^5 u_L = - u_L, \quad \gamma^5 v_R = -v_R, \quad \gamma^5 v_L = +v_L\]Chiral projection operators
These projection operators are defined by
\[P_R = \frac 1 2(1+\gamma^5) = \frac 1 2 \begin{pmatrix} I & I\\ I & I\\ \end{pmatrix}\\ P_L = \frac 1 2(1-\gamma^5) = \frac 1 2 \begin{pmatrix} I & -I\\ -I & I\\ \end{pmatrix}\\\]Thus
\[P_Ru_R = u_R, P_Ru_L = 0, P_Rv_R = 0, P_Rv_L = v_L\\ P_Lu_R = 0, P_Lu_L = U_L, P_Lv_R = v_R, P_Lv_L = 0\\\]And
\[u = a_Ru_R +a_Lu_L = P_Ru+P_Lu\]Chirality in QED
Let’s consider the case that we encountered earlier, why $j^\mu_{RR} = j^\mu_{LL} = 0$?
For example,
\[\begin{aligned} \bar u_L &= u_L^\dagger \gamma_0 \\ &= (P_Lu_L)^\dagger \gamma_0\\ &= u_L^\dagger P_L^\dagger \gamma_0\\ &= u_L^\dagger \gamma_0P_R\\ &= \bar u_LP_R \end{aligned}\]And
\[\begin{aligned} \bar u_L\gamma^\mu u_R &= \bar u_LP_R\gamma^0u_R\\ &= \bar u_L\gamma^0P_Lu_R\\ &= 0 \end{aligned}\]Thus we get the zero results by nature.
Helicity and Chirality
When the condition $E \gg m $ isn’t satisfied, we should keep in mind that the helicity and chirality are not the same idea, i.e.,
\[u_\uparrow = N\begin{bmatrix} c\\ s \mathrm e ^{\mathrm i \phi}\\ \kappa c\\ \kappa s \mathrm e ^{\mathrm i \phi}\\ \end{bmatrix}, \quad u_\downarrow = N\begin{bmatrix} -s\\ c \mathrm e ^{\mathrm i \phi}\\ \kappa s\\ -\kappa c \mathrm e ^{\mathrm i \phi}\\ \end{bmatrix},\quad v_\uparrow = N\begin{bmatrix} \kappa s\\ -\kappa c \mathrm e ^{\mathrm i \phi}\\ -s\\ c \mathrm e ^{\mathrm i \phi}\\ \end{bmatrix}, \quad v_\downarrow = N\begin{bmatrix} \kappa c\\ \kappa s \mathrm e ^{\mathrm i \phi}\\ c\\ s \mathrm e ^{\mathrm i \phi}\\ \end{bmatrix}\]where
\[N = \sqrt {E+m}, \kappa =\frac {p}{E+m}\]we have
\[u_\uparrow = P_Ru_\uparrow+P_Lu_\uparrow = \frac 1 2 (1+\kappa)u_R+\frac 1 2(1-\kappa)u_L\]There’s a trick (or mistake) in the book:
This equation above make sense only when we set $u_R = \begin{bmatrix}\xi \\xi \end{bmatrix}$ and $u_R = \begin{bmatrix}\xi \-\xi \end{bmatrix}$ where $\xi = \begin{bmatrix}c \ s\mathrm e ^{\mathrm i \phi}\end{bmatrix}$, which is in consistent with the setting above.


Trace techniques
(TO BE CONTINUED)