Notebook Entry
Reading notes for Modern Particle Physics, Mark Thomson (Chapter 9)
too much contents and concepts for this chapter … will complete them another time.
Chapter 9 Symmetries and quark model
Symmetries in quantum mechanics
operator $\hat U$ represents for symmetry satisfies
\[\hat U\hat U^\dagger =I \text{(unitary operator)}\] \[[\hat H, \hat U]=0\]infinitesimal transformation $\hat U = I +\mathrm i \varepsilon \hat G$
\[\hat G = \hat G^\dagger \text{(Hermitian opertor)}\] \[[\hat H, \hat G]=0\]Flavor symmetry
Heisenberg suggested that if you could switch off the electric charge of the proton, there would be no way to distinguish between a proton and a neutron. To reflect this observed symmetry of the nuclear force, it was proposed that the neutron and proton could be considered as two states of a single entity, the nucleon, analogous to the spin-up and spin-down states of a spin-half particle,
\[p = \begin{pmatrix} 1\\ 0 \end{pmatrix} ,\quad n = \begin{pmatrix} 0 \\ 1 \end{pmatrix}\]isospin: proton and neutron compose a doublet isospin with $I = \frac 1 2$
Flavor symmetry of strong interaction
Strong interaction treats all the flavors equally; one simple consequence of an exact $ud$ flavor symmetry is that the existence of a ($uud$) bound quark state implies that there will a corresponding state ($ddu$) with the same mass.
Isospin algebra
Combining quarks into baryons
Just like the combination of angular momenta …
For mesons:
\[(I, I_3) = (1, 1)= uu\\ (I, I_3) = (1, 0)= \frac 1 {\sqrt 2}(ud+du)\\ (I, I_3) = (1, -1)= dd\\ (I, I_3) = (0, 0)= \frac 1 {\sqrt 2}(ud-du)\]Group structure:
\[2 \times 2 = 3+1\]For baryons:
\[(I, I_3) = (\frac 3 2, \frac 3 2)= uuu\\ (I, I_3) = (\frac 3 2, \frac 1 2)= \frac 1 {\sqrt 3}(duu+udu+uud)\\ (I, I_3) = (\frac 3 2, -\frac 1 2)= \frac 1 {\sqrt 3}(udd+dud+ddu)\\ (I, I_3) = (\frac 3 2, -\frac 3 2)= ddd\] \[(I, I_3)_S = (\frac 1 2, \frac 1 2)= \frac 1 {\sqrt 6}(2uud-duu-udu)\\ (I, I_3)_S = (\frac 1 2, -\frac 1 2)= -\frac 1 {\sqrt 6}(2ddu-udd-dud)\] \[(I,I_3)_A = (\frac 1 2, \frac 1 2) = \frac 1 {\sqrt 2}(udu-duu)\\ (I,I_3)_A = (\frac 1 2, -\frac 1 2) = \frac 1 {\sqrt 2}(udd-dud)\]About the calculation above:
For $I = \frac 3 2$, it is simple to get the $(\frac 3 2, \frac 3 2)$ state, and with the help of up-down ladder operator ,we can easily get the expressions of other states with $I = \frac 3 2$., i.e., \((\frac 3 2, \frac 3 2)_3= (1, 1)_2\times(\frac 1 2, \frac 1 2)_1\) For $I = \frac 1 2$, we have to compose them from scratch. First of all, there must be 2 sets of $I = \frac 1 2$ states to satisfy the completeness requirement(not difficult to verify). Note that 3-particle states are composed of 2-particle states and 1-particle states, for example, \((\frac 1 2, \frac 1 2)_3 = c_1(1, 1)_2\times(\frac 1 2, -\frac 1 2)_1+c_2(1, 0)_2\times(\frac 1 2, \frac 1 2)_1\) Or: \((\frac 1 2, \frac 1 2)_3 = (0, 0)_2\times(\frac 1 2, \frac 1 2)_1\) Apparently these 2 kind of states are orthogonal, and the second term naturally satisfies $I = \frac 1 2$.
Plus the orthogonal constraints, we can get the expression of $c_1, c_2$. Thus we can easily get the expression of $I_3 = -\frac 1 2$ states.
Another disscussion:
In the derivation above, we put the 2-particle state in front, but we can also put it in end. This expression is also correct and it’s the linear combination of $\psi_S$ and $\psi_A$.
Hence, the eight combinations of three up- and down-quarks, $uuu, uud, udu, udd,duu, dud, ddu$ and $ddd$, have been grouped into an isospin- $\frac 3 2$ quadruplet and two isospin- $\frac 1 2$ doublets.
Group structure:
\[2\times 2\times 2 = 2\times (3+1) = 4+2+2\]Another note for the notation $A\&S$:
The doublet states labelled $\psi_S$ , are symmetric under the interchange of quarks $1 \leftrightarrow 2$, whereas the doublet states, labelled $\psi_A$, are antisymmetric under the interchange of quarks $1 \leftrightarrow 2$.
Spin states of 3 quarks
Similar to the flavor symmetry of quarks, we can simply change the up and down notations into $\uparrow$ and $\downarrow$.
Ground state baryon wavefunctions
\[\psi = \phi_{flavor}\chi_{spin}\xi_{color}\eta_{spatial}\]Ostensibly there are 8(flavors)*8(spins)=64 kinds of combinations for baryons, however not all of them allowed to compose baryons due to the constraint that baryons are fermions. Color wavefunction is necessarily totally antisymmetric; so for $L=0$ baryons(spatial wavefunctions are naturally symmetric):
\[\phi_{flavor}\chi_{spin} = \text{symmetric}\]Choice 1: totally symmetric flavor wavefunctions($I = \frac 3 2$) times totally symmetric flavor wavefunctions($S = \frac 3 2$), 4 * 4=16 types.

Choice 2: $\psi = \frac 1 {\sqrt 2} (\psi_S\chi_S+\psi_A\chi_A)$.
For example, for proton with spin 1/2,
\[\ket {p\uparrow} = \frac 1 {6 \sqrt 2}(2uud − udu − duu)(2 \uparrow\uparrow\downarrow − \uparrow\downarrow\uparrow − \downarrow\uparrow\uparrow) + \frac 1 {2 \sqrt 2}(udu − duu)(\uparrow\downarrow\uparrow − \downarrow\uparrow\uparrow)\]i.e.,
\[|p\uparrow〉 = \frac 1 {\sqrt {18}}(2u\uparrow u\uparrow d\downarrow−u\uparrow u\downarrow d\uparrow−u\downarrow u\uparrow d\uparrow\\ + 2u\uparrow d\downarrow u\uparrow−u\uparrow d\uparrow u\downarrow−u\downarrow d\uparrow u\uparrow\\ + 2d\downarrow u\uparrow u\uparrow−d\uparrow u\uparrow u\downarrow−d\uparrow u\downarrow u\uparrow).\]Isospin representation of antiquarks
By the conjugation of quarks and anti-quarks, we can simply set
\[\bar q= \begin{pmatrix} -\bar d \\ \bar u \end{pmatrix}\]Meson states
Just the same as the calculations above, we have the mix eigen states for mesons:
\[(I, I_3) = (1, 1) = -u\bar d \\ (I, I_3) = (1, 0) = \frac {1}{\sqrt 2}(-d\bar d +u\bar u)\\ (I, I_3) = (1, -1) = d\bar u\\ (I, I_3) = (0, 0) = \frac {1}{\sqrt 2}(d\bar d +u\bar u)\]Group structure:
\[2 \times 2 = 3 + 1\]SU(3) flavor symmetry
Things could be a little bit complicated when it comes to 3 kind of flavors for quarks, i.e., u, d and s. As before, we can simply assign the isotope $\pm 1, 0 $ to them or $\pm \frac 1 2, 0$ for accordance. In 2-flavors scenario, we use the Pauli matrix to get this done. Similarly we use a 3 times 3 dimensional matrices to manipulate this SU(3) group algebra.
For symmetries between u and d (just Pauli matrices in the top-left corner)
\[\lambda_1 = \begin{pmatrix} 0 &1&0\\ 1 &0 & 0\\ 0 & 0 &0 \end{pmatrix},\quad \lambda_2 = \begin{pmatrix} 0 &-\mathrm i &0\\ \mathrm i &0&0\\ 0&0&0 \end{pmatrix},\quad \lambda_3 = \begin{pmatrix} 1 & 0 & 0\\ 0 & -1 & 0\\ 0 & 0 & 0 \end{pmatrix}\]Similarly for u and s:
\[\lambda_4 = \begin{pmatrix} 0 &0&1\\ 0 & 0 &0\\ 1 &0 & 0 \end{pmatrix},\quad \lambda_5 = \begin{pmatrix} 0 &0 &-\mathrm i\\ 0 &0&0\\ \mathrm i &0&0 \end{pmatrix},\quad \lambda_X = \begin{pmatrix} 1 & 0 & 0\\ 0 & 0 & 0\\ 0 & 0 & -1 \end{pmatrix}\]For d and s:
\[\lambda_6 = \begin{pmatrix} 0 &0&0\\ 0 & 0 &1\\ 0 &1& 0 \end{pmatrix},\quad \lambda_7 = \begin{pmatrix} 0 &0 &0\\ 0 &0&-\mathrm i\\ 0 &\mathrm i&0 \end{pmatrix},\quad \lambda_Y = \begin{pmatrix} 0 & 0 & 0\\ 0 & 1 & 0\\ 0 & 0 & -1 \end{pmatrix}\]Due to this matrices all satisfy tr(M)=0, apparently they are not all independent. So we introduce
\[\lambda_8 =\frac{1}{\sqrt 3}(\lambda_X+\lambda_Y) = \frac{1}{\sqrt 3} \begin{pmatrix} 1 & 0 & 0\\ 0 & 1 & 0\\ 0 & 0 & -2 \end{pmatrix}\]And $\hat T_i = \frac 1 2\lambda_i$.
SU(3) flavor states
The total “squared isotope” operator:
\[\hat T^2 = \sum_{i=1}^8\hat T_i^2 = \frac 4 3 \begin{pmatrix} 1 & 0& 0\\ 0 & 1 & 0\\ 0 & 0 & 1 \end{pmatrix}\]Apparently only $\lambda_3$ and $\lambda_8$ are commuted, and we can introduce the isotope operator and the hypercharge operator
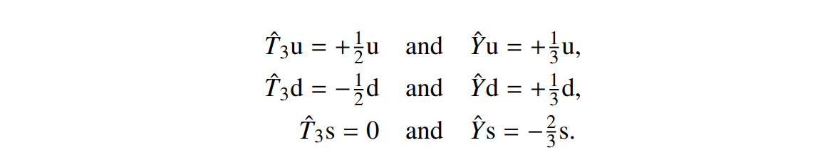
\[\hat T_3 = \frac 1 2 \lambda_3, \hat Y = \frac 1 {\sqrt 3} \lambda_8\]which means

And the ladder operator


Shown in the picture below:

The light mesons
For the assumed SU(3) flavor symmetry, the $q\bar q$ flavor states are decomposed into an octet and a singlet.
the octet:

the singlet:
\[\ket {\psi_S} = \frac 1 {\sqrt 3}(u\bar u +d\bar d+s\bar s)\](TO BE CONTINUED)